Codes P0715 and P0700

1996 HONDA CIVIC
400 MILES • 1.6L • 4 CYL • AUTOMATIC
Avatar
BLACK HUSSLE
  • MEMBER
  • 1 POST
Code P0715 Transmission input speed sensor.
Code P0700 Transmission Control Solenoid.
Dec 31, 2019 at 2:22 AM
Repair Safety Notice: This information is for general instructional purposes only. Vehicle repair can be dangerous. Verify all information, follow manufacturer service procedures, use proper tools and safety equipment, and consult a qualified repair shop when needed.
Advertisement
Avatar
ASEMASTER6371
  • AUTOMOTIVE REPAIR CONTRIBUTOR
  • 52,796 POSTS
Good morning,

The 700 is a general code that means there is another code.

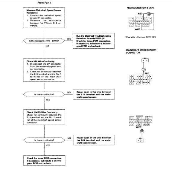
The 715 is for the speed sensor. It could be the sensor but it also could be several other items as well. I attached the possibilities as well as the flow chart for the code.

Roy
Dec 31, 2019 at 6:23 AM
Advertisement