Wednesday, September 29th, 2021 AT 6:27 PM
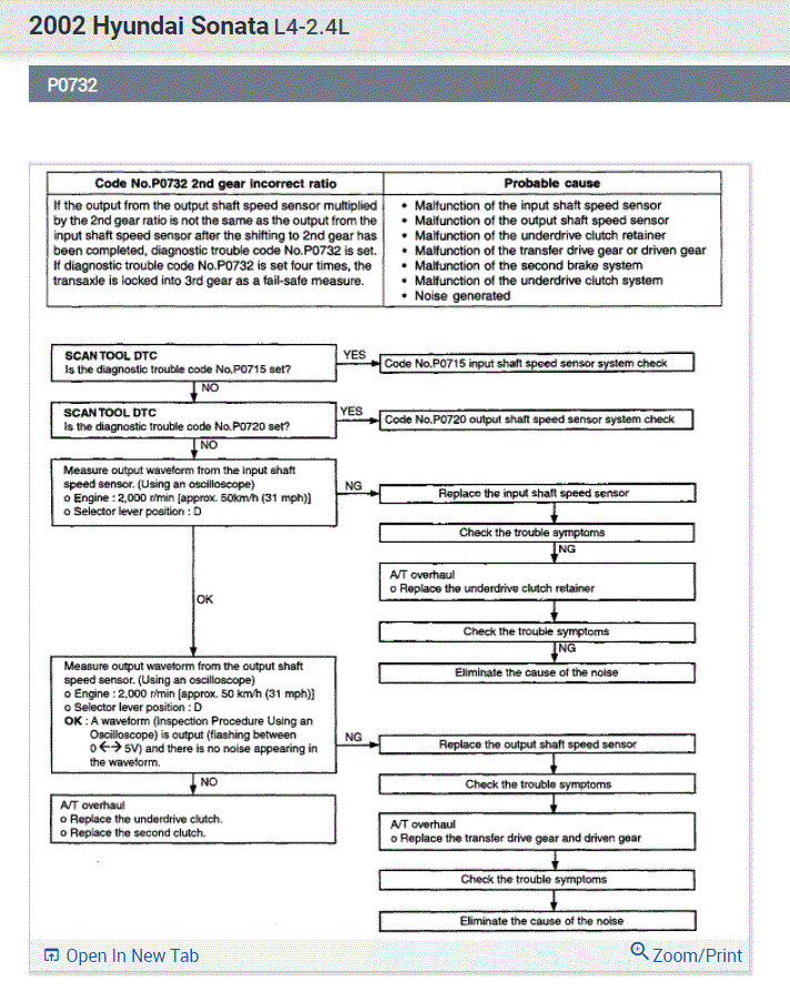
The vehicle has been behaving strange, when it is accelerating, it found it difficult to exceed gear 2, whenever is exceed gear 2 to 3, after few seconds it will drop back to 2 and the engine speed will be increasing but not providing good Vehicle speed, at the initial stage there was no codes on its memory but later found P0732. What could be the cause? Can any test be done to know the cause?



