I am trying to put the belt on, but i cannot find the right diagram.
Sep 2, 2017 at 1:21 PM
Repair Safety Notice:
This information is for general instructional purposes only. Vehicle repair can be dangerous.
Verify all information, follow manufacturer service procedures, use proper tools and safety equipment,
and consult a qualified repair shop when needed.
Advertisement
JDL
AUTOMOTIVE REPAIR CONTRIBUTOR
16,098 POSTS
Is this a 6.3L engine? Sometimes there is a belt routing decal, under the hood?
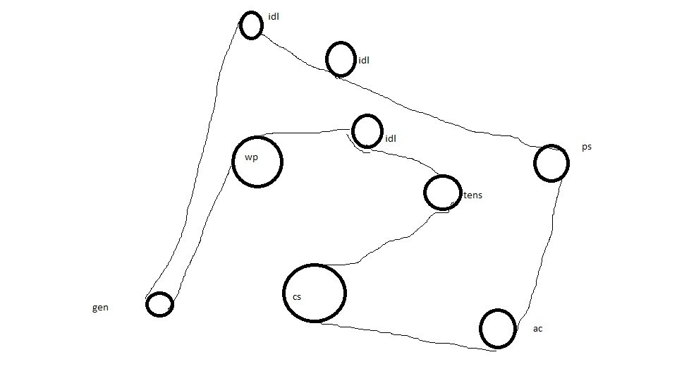
My free-hand is not very good, I labeled the pulleys. I do not know if this is what you have?
I found the belt routing in a tune-up manual, 2008 Mercedes 6.3L engine.