Saturday, May 11th, 2024 AT 4:22 AM
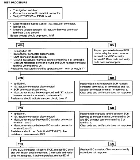
My car has been misfiring when idle or driving but I changed the crankshaft sensor and now it doesn’t misfire when idle but only when driving. I used a scanner and it showed 2 codes which were P1505 and P1507.






