Sunday, May 30th, 2021 AT 9:06 PM
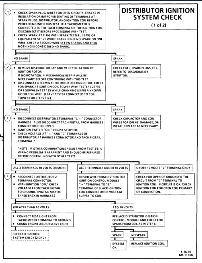
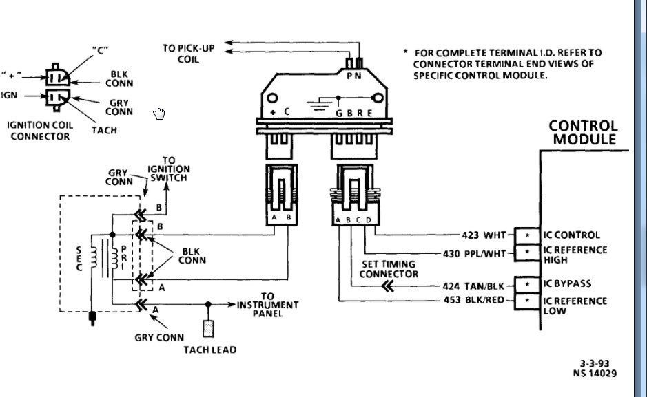
My vehicle listed above just shuts off while driving without warning and will not restart. Strange as it sounds sometimes no fuel and then sometimes I spark. I’ve replaced complete fuel pump assembly with Bosch, new fuel frame filter, fuel relay, plugs, wires, distributor cap and rotor and now a completely new distributor with all new components, and the coil twice. Usually once I change something like the ICM it started and ran for maybe 50 to 75 miles and then just shut off with no warning. The time before that after shut off, it wasn’t getting fuel so I’d pour some down the throttle body and it would start so once again I changed the fuel pump and at that time I also checked the one I took out and it wasn’t bad and the thing still wouldn’t start. As strange as it sounds my neighbor/great certified mechanic owed me a favor and checked it out. He replaced the coil and it fired right up. It ran for around 500 miles give or take and then shut down. At this point is where I replaced the ICM and it ran less than 100 miles and just shut down. After sitting for about a year with no start try after try Wednesday I replaced the complete distributor assembly including all new components. Suburban fired right up I adjusted the timing and ran great sitting in the yard. Fired right up at every crank for 3 days. Loaded up for a trip too the storage unit with my head held high feeling a bit confident that she’s finally rockin again and to no avail this vehicle shuts down again about 5 miles from home. She’s getting fuel but no spark and at this point, I'm the only one thats fired up. So at this point, please Any help would be great. Thanks, D.H. In VA







