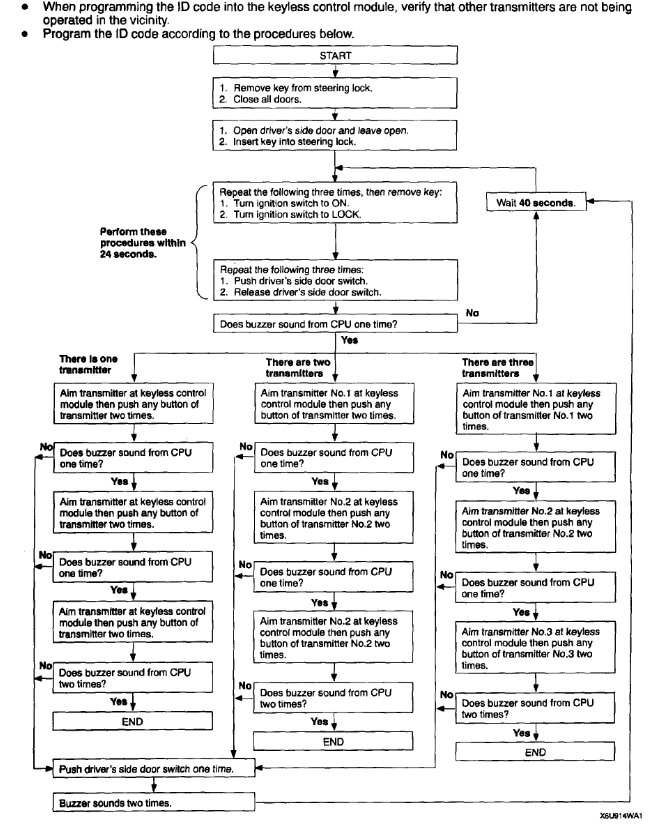
Tuesday, October 22nd, 2024 AT 1:39 PM
Lost the key had new one coded but sometimes it starts sometimes it doesn't. Its light flashes three times it might go off car will start, or it stays on car will not start now and then light will go off. Car won't start. Any help is much appreciated.


